7класс

Страница 200 номер 7.54, ГДЗ по алгебре за 7 класс к учебнику Дорофеева 2024 года

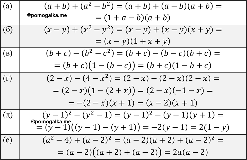
Номер 7.54

Краткое условие: Разложите на множители: а) \( (a+b)+(a^{2}-b^{2}) \); б) \( (x-y)+(x^{2}-y^{2}) \); в) \( (b+c)-(b^{2}-c^{2}) \); г) \( (2-x)-(4-x^{2}) \); д) \( (y-1)^{2}-(y^{2}-1) \); е) \( (a^{2}-4)+(a-2)^{2} \).
страница 200 номер 7.54 ГДЗ алгебра 7 класс Дорофеева 2024 год
Сообщить об ошибке
Закрыть