ГДЗ
7 класс
Алгебра
Дорофеев, Суворова, Бунимович
7
класс
Страница 203 номер 7.68, ГДЗ по алгебре за 7 класс к учебнику Дорофеева 2024 года
Номер 7.68
Краткое условие:
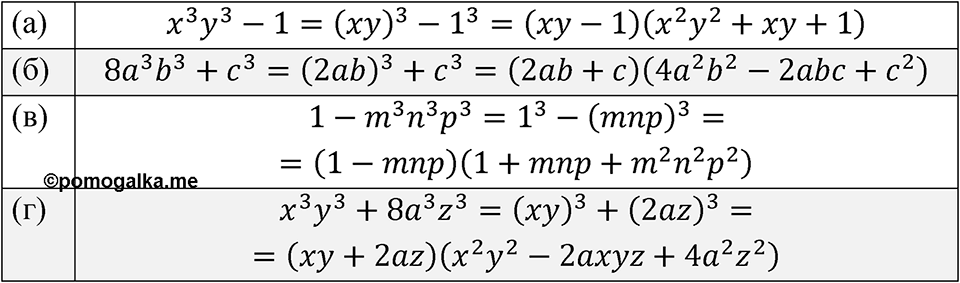
Разложите на множители. а) \( x^{3} y^{3}-1 \); б) \( 8 a^{3} b^{3}+c^{3} \); в) \( 1-m^{3} n^{3} p^{3} \); г) \( x^{3} y^{3}+8 a^{3} z^{3} \).
Номер 7.67
Номер 7.69
смотреть все номера
7
класс
Spotlight Student's book
Английский язык
Смотреть
7
класс
Пасечник, Суматохин
Биология
Смотреть
7
класс
Перышкин
Физика
Смотреть
7
класс
Алексеев - Полярная звезда
География
Смотреть
Сообщить об ошибке
pomogalka
ГДЗ
Рабочие тетради
Меню
Избранное
11
10
9
8
7
6
5
4
3
2
1
Предметы
Кл.
Свернуть
Кл.
Алгебра
Русский язык
Английский язык
Немецкий язык
Химия
Физика
Геометрия
Информатика
Обществознание
История
Биология
География
Литература
Отправить
Закрыть