7класс

Страница 199 номер 7.40, ГДЗ по алгебре за 7 класс к учебнику Дорофеева 2024 года

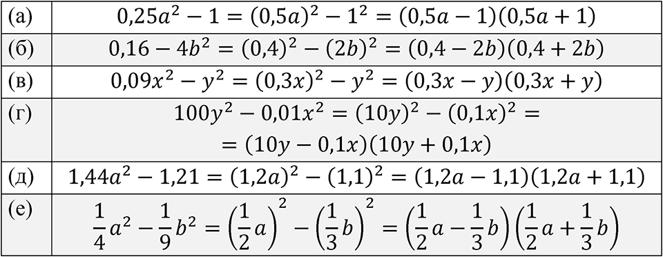
Номер 7.40

Краткое условие: Разложите на множители. a) \( 0,25 a^{2}-1 \); б) \( 0,16-4 b^{2} \); в) \( 0,09 x^{2}-y^{2} \); г) \( 100 y^{2}-0,01 x^{2} \); д) \( 1,44 a^{2}-1,21 \); e) \( \frac{1}{4} a^{2}-\frac{1}{9} b^{2} \).
страница 199 номер 7.40 ГДЗ алгебра 7 класс Дорофеева 2024 год
Сообщить об ошибке
Закрыть