ГДЗ
7 класс
Алгебра
Дорофеев, Суворова, Бунимович
7
класс
Страница 199 номер 7.47, ГДЗ по алгебре за 7 класс к учебнику Дорофеева 2024 года
Номер 7.47
Краткое условие:
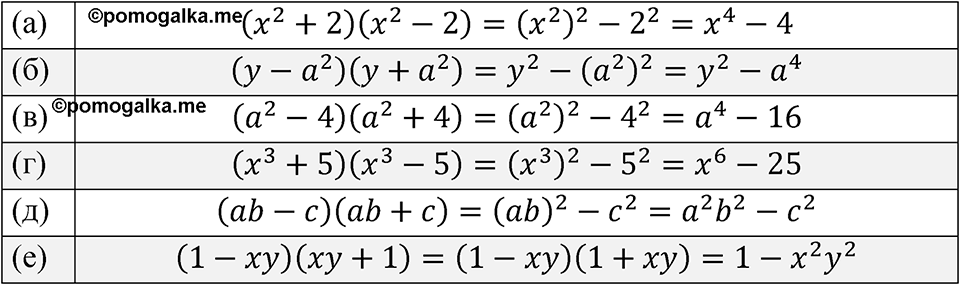
Выполните умножение. а) \((x^{2}+2)(x^{2}-2)\); б) \((y-a^{2})(y+a^{2})\); в) \((a^{2}-4)(a^{2}+4)\); г) \((x^{3}+5)(x^{3}-5)\); д) \((ab-c)(ab+c)\); е) \((1-xy)(xy+1)\).
Номер 7.46
Номер 7.48
смотреть все номера
7
класс
Spotlight Student's book
Английский язык
Смотреть
7
класс
Пасечник, Суматохин
Биология
Смотреть
7
класс
Перышкин
Физика
Смотреть
7
класс
Алексеев - Полярная звезда
География
Смотреть
Сообщить об ошибке
pomogalka
ГДЗ
Рабочие тетради
Меню
Избранное
11
10
9
8
7
6
5
4
3
2
1
Предметы
Кл.
Свернуть
Кл.
Алгебра
Русский язык
Английский язык
Немецкий язык
Химия
Физика
Геометрия
Информатика
Обществознание
История
Биология
География
Литература
Отправить
Закрыть