ГДЗ
7 класс
Алгебра
Дорофеев, Суворова, Бунимович
7
класс
Страница 199 номер 7.46, ГДЗ по алгебре за 7 класс к учебнику Дорофеева 2024 года
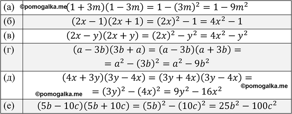
Номер 7.46
Краткое условие:
Выполните умножение. a) \( (1+3 m)(1-3 m) \); г) \( (a-3 b)(3 b+a) \); б) \( (2 x-1)(2 x+1) \); д) \( (4 x+3 y)(3 y-4 x) \); …
Номер 7.45
Номер 7.47
смотреть все номера
7
класс
Spotlight Student's book
Английский язык
Смотреть
7
класс
Пасечник, Суматохин
Биология
Смотреть
7
класс
Перышкин
Физика
Смотреть
7
класс
Алексеев - Полярная звезда
География
Смотреть
Сообщить об ошибке
pomogalka
ГДЗ
Рабочие тетради
Меню
Избранное
11
10
9
8
7
6
5
4
3
2
1
Предметы
Кл.
Свернуть
Кл.
Алгебра
Русский язык
Английский язык
Немецкий язык
Химия
Физика
Геометрия
Информатика
Обществознание
История
Биология
География
Литература
Отправить
Закрыть