7класс

Страница 197 номер 7.36, ГДЗ по алгебре за 7 класс к учебнику Дорофеева 2024 года

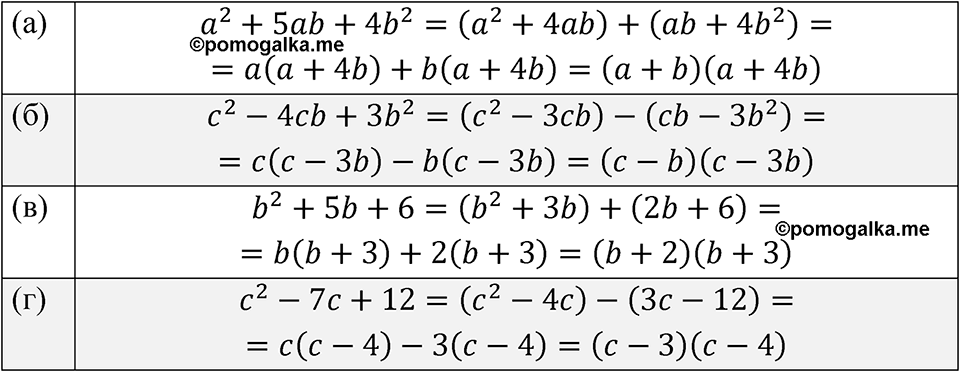
Номер 7.36

Краткое условие: Разложите на множители трёхчлен: а) \(a^{2}+5ab+4b^{2}\); б) \(c^{2}-4cb+3b^{2}\); в) \(b^{2}+5b+6\); г) \(c^{2}-7c+12\). Разложим на множители многочлен \(2x^{2}+5xy+2y^{2}\). Для группировки разделим \(5xy\) на \(xy\) и \(4xy\): \(2x^{2}+xy+4xy+2y^{2}=x(2x+y)+2y(2x+y)=(2x+y)(x+2y)\).
страница 197 номер 7.36 ГДЗ алгебра 7 класс Дорофеева 2024 год
Сообщить об ошибке
Закрыть