7класс

Страница 201 номер 7.60, ГДЗ по алгебре за 7 класс к учебнику Дорофеева 2024 года

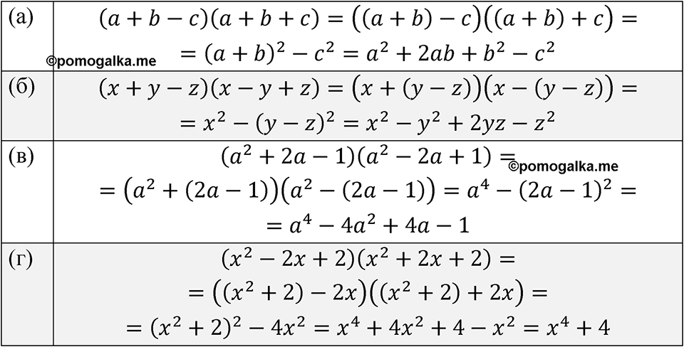
Номер 7.60

Краткое условие: Используйте формулу \( (a-b)(a+b)=a^{2}-b^{2} \) для преобразования произведений в многочлены: a) \( (a+b-c)(a+b+c) \); б) \( (x+y-z)(x-y+z) \); в) \( (a^{2}+2a-1)(a^{2}-2a+1) \); г) \( (x^{2}-2x+2)(x^{2}+2x+2) \).
страница 201 номер 7.60 ГДЗ алгебра 7 класс Дорофеева 2024 год
Сообщить об ошибке
Закрыть