ГДЗ
7 класс
Алгебра
Дорофеев, Суворова, Бунимович
7
класс
Страница 202 номер 7.63, ГДЗ по алгебре за 7 класс к учебнику Дорофеева 2024 года
Номер 7.63
Краткое условие:
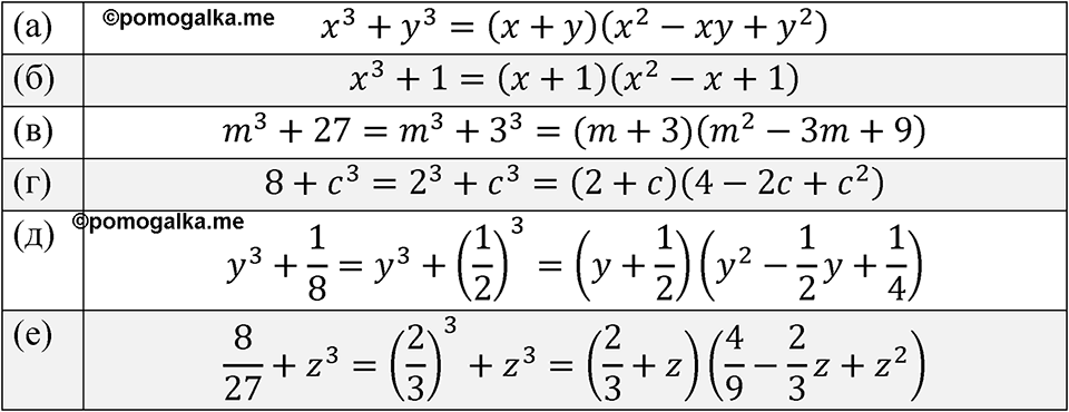
Разложите на множители. а) \( x^{3}+y^{3} \); в) \( m^{3}+27 \); д) \( y^{3}+\frac{1}{8} \); б) \( x^{3}+1 \); г) \( 8+c^{3} \); e) \( \frac{8}{27}+z^{3} \).
Номер 7.62
Номер 7.64
смотреть все номера
7
класс
Spotlight Student's book
Английский язык
Смотреть
7
класс
Пасечник, Суматохин
Биология
Смотреть
7
класс
Перышкин
Физика
Смотреть
7
класс
Алексеев - Полярная звезда
География
Смотреть
Сообщить об ошибке
pomogalka
ГДЗ
Рабочие тетради
Меню
Избранное
11
10
9
8
7
6
5
4
3
2
1
Предметы
Кл.
Свернуть
Кл.
Алгебра
Русский язык
Английский язык
Немецкий язык
Химия
Физика
Геометрия
Информатика
Обществознание
История
Биология
География
Литература
Отправить
Закрыть