7класс

Страница 201 номер 7.59, ГДЗ по алгебре за 7 класс к учебнику Дорофеева 2024 года

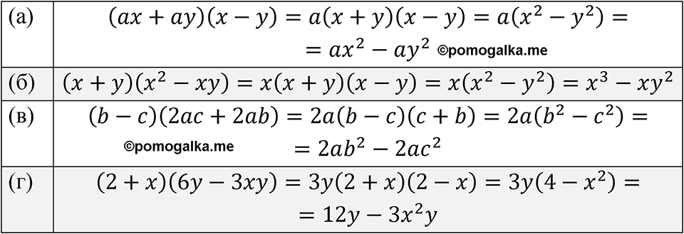
Номер 7.59

Краткое условие: Используйте формулу \( (a-b)(a+b)=a^{2}-b^{2} \) для преобразования произведения в многочлен: a) \( (a x+a y)(x-y) \); б) \( (x+y)\left(x^{2}-x y\right) \); в) \( (b-c)(2 a c+2 a b) \); г) \( (2+x)(6 y-3 x y) \).
страница 201 номер 7.59 ГДЗ алгебра 7 класс Дорофеева 2024 год
Сообщить об ошибке
Закрыть