ГДЗ
7 класс
Алгебра
Дорофеев, Суворова, Бунимович
7
класс
Страница 199 номер 7.45, ГДЗ по алгебре за 7 класс к учебнику Дорофеева 2024 года
Номер 7.45
Краткое условие:
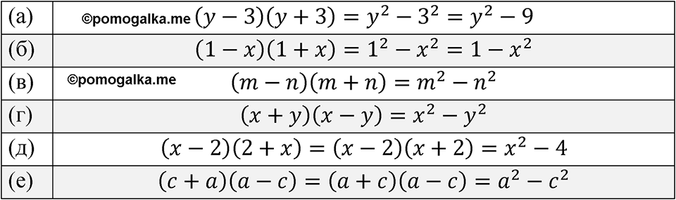
Выполните умножение. а) \( (y-3)(y+3) \); б) \( (1-x)(1+x) \); в) \( (m-n)(m+n) \); г) \( (x+y)(x-y) \); д) \( (x-2)(2+x) \); e) \( (c+a)(a-c) \).
Номер 7.44
Номер 7.46
смотреть все номера
7
класс
Spotlight Student's book
Английский язык
Смотреть
7
класс
Пасечник, Суматохин
Биология
Смотреть
7
класс
Перышкин
Физика
Смотреть
7
класс
Алексеев - Полярная звезда
География
Смотреть
Сообщить об ошибке
pomogalka
ГДЗ
Рабочие тетради
Меню
Избранное
11
10
9
8
7
6
5
4
3
2
1
Предметы
Кл.
Свернуть
Кл.
Алгебра
Русский язык
Английский язык
Немецкий язык
Химия
Физика
Геометрия
Информатика
Обществознание
История
Биология
География
Литература
Отправить
Закрыть