7класс

Страница 196 номер 7.32, ГДЗ по алгебре за 7 класс к учебнику Дорофеева 2024 года

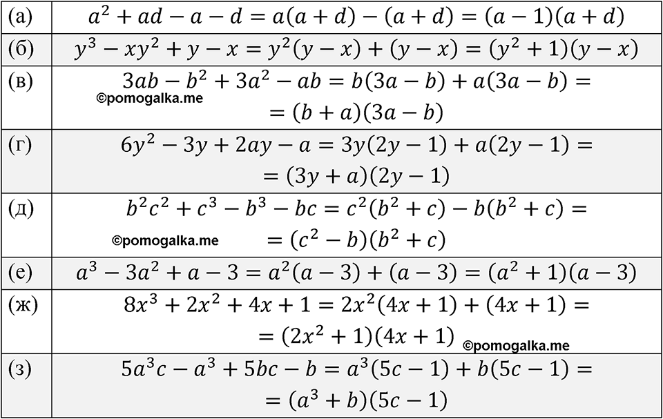
Номер 7.32

Краткое условие: Разложите на множители многочлены: \(a^{2}+ad-a-d\); \(b^{2}c^{2}+c^{3}-b^{3}-bc\); \(y^{3}-xy^{2}+y-x\); \(a^{3}-3a^{2}+a-3\); \(3ab-b^{2}+3a^{2}-ab\); \(8x^{3}+2x^{2}+4x+1\); \(6y^{2}-3y+2ay-a\); \(5a^{3}c-a^{3}+5bc-b\).
страница 196 номер 7.32 ГДЗ алгебра 7 класс Дорофеева 2024 год
Сообщить об ошибке
Закрыть