7класс

Страница 196 номер 7.33, ГДЗ по алгебре за 7 класс к учебнику Дорофеева 2024 года

Номер 7.33

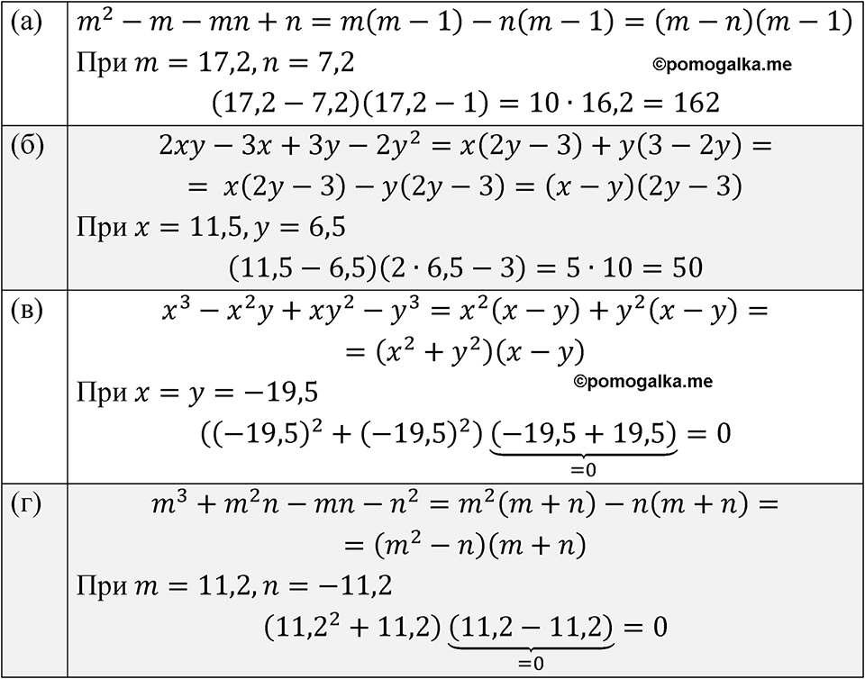
Краткое условие: Найдите значение выражения при заданных значениях переменных: а) \(m^{2}-m-mn+n\) при \(m=17,2,\ n=7,2\); б) \(2xy-3x+3y-2y^{2}\) при \(x=11,5,\ y=6,5\); в) \(x^{3}-x^{2}y+xy^{2}-y^{3}\) при \(x=y=-19,5\); г) \(m^{3}+m^{2}n-mn-n^{2}\) при \(m=11,2,\ n=-11,2\).
страница 196 номер 7.33 ГДЗ алгебра 7 класс Дорофеева 2024 год
Сообщить об ошибке
Закрыть