ГДЗ
7 класс
Алгебра
Дорофеев, Суворова, Бунимович
7
класс
Страница 199 номер 7.41, ГДЗ по алгебре за 7 класс к учебнику Дорофеева 2024 года
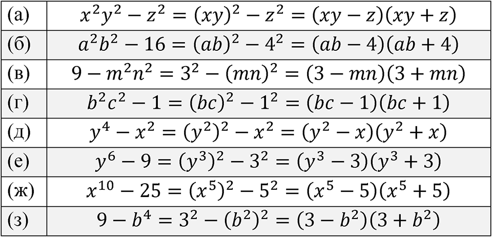
Номер 7.41
Краткое условие:
Разложите на множители. a) \( x^{2} y^{2}-z^{2} \); в) \( 9-m^{2} n^{2} \); д) \( y^{4}-x^{2} \); ж) \( x^{10}-25 \); ...
Номер 7.40
Номер 7.42
смотреть все номера
7
класс
Spotlight Student's book
Английский язык
Смотреть
7
класс
Пасечник, Суматохин
Биология
Смотреть
7
класс
Перышкин
Физика
Смотреть
7
класс
Алексеев - Полярная звезда
География
Смотреть
Сообщить об ошибке
pomogalka
ГДЗ
Рабочие тетради
Меню
Избранное
11
10
9
8
7
6
5
4
3
2
1
Предметы
Кл.
Свернуть
Кл.
Алгебра
Русский язык
Английский язык
Немецкий язык
Химия
Физика
Геометрия
Информатика
Обществознание
История
Биология
География
Литература
Отправить
Закрыть