7класс

Страница 203 номер 7.73, ГДЗ по алгебре за 7 класс к учебнику Дорофеева 2024 года

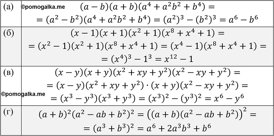
Номер 7.73

Краткое условие: Представьте выражение в виде многочлена: a) \( (a-b)(a+b)(a^{4}+a^{2} b^{2}+b^{4}) \); б) \( (x-1)(x+1)(x^{2}+1)(x^{8}+x^{4}+1) \); в) \( (x-y)(x+y)(x^{2}+x y+y^{2})(x^{2}-x y+y^{2}) \); г) \( (a+b)^{2}(a^{2}-a b+b^{2})^{2} \).
страница 203 номер 7.73 ГДЗ алгебра 7 класс Дорофеева 2024 год
Сообщить об ошибке
Закрыть