7класс

Страница 203 номер 7.70, ГДЗ по алгебре за 7 класс к учебнику Дорофеева 2024 года

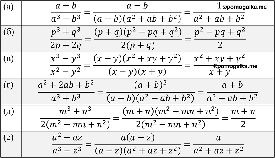
Номер 7.70

Краткое условие: Сократите дробь: a) \( \frac{a-b}{a^{3}-b^{3}} \); в) \( \frac{x^{3}-y^{3}}{x^{2}-y^{2}} \); д) \( \frac{m^{3}+n^{3}}{2\left(m^{2}-m n+n^{2}\right)} \); б) \( \frac{p^{3}+q^{3}}{2(p+q)} \); г) \( \frac{(a+b)^{2}}{a^{3}+b^{3}} \); e) \( \frac{a(a-z)}{a^{3}-z^{3}} \).
страница 203 номер 7.70 ГДЗ алгебра 7 класс Дорофеева 2024 год
Сообщить об ошибке
Закрыть