7класс

Страница 202 номер 7.62, ГДЗ по алгебре за 7 класс к учебнику Дорофеева 2024 года

Номер 7.62

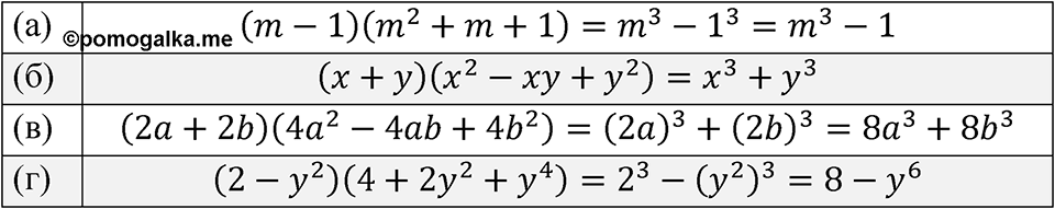
Краткое условие: Выполните умножение по формулам суммы/разности кубов: a) \( (m-1)(m^{2}+m+1) \); б) \( (x+y)(x^{2}-xy+y^{2}) \); в) \( (2a+2b)(4a^{2}-4ab+4b^{2}) \); г) \( (2-y^{2})(4+2y^{2}+y^{4}) \).
страница 202 номер 7.62 ГДЗ алгебра 7 класс Дорофеева 2024 год
Сообщить об ошибке
Закрыть