7класс

Страница 199 номер 7.44, ГДЗ по алгебре за 7 класс к учебнику Дорофеева 2024 года

Номер 7.44

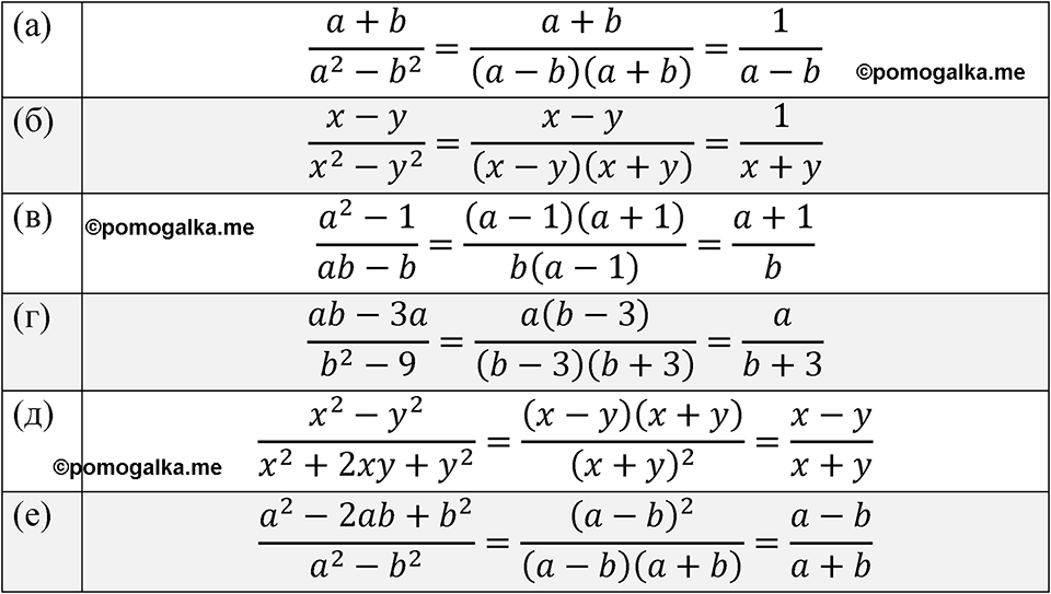
Краткое условие: Сократите дробь: a) \( \frac{a+b}{a^{2}-b^{2}} \); в) \( \frac{a^{2}-1}{a b-b} \); д) \( \frac{x^{2}-y^{2}}{x^{2}+2 x y+y^{2}} \); б) \( \frac{x-y}{x^{2}-y^{2}} \); г) \( \frac{a b-3 a}{b^{2}-9} \); e) \( \frac{a^{2}-2 a b+b^{2}}{a^{2}-b^{2}} \).
страница 199 номер 7.44 ГДЗ алгебра 7 класс Дорофеева 2024 год
Сообщить об ошибке
Закрыть