ГДЗ
7 класс
Алгебра
Дорофеев, Суворова, Бунимович
7
класс
Страница 200 номер 7.49, ГДЗ по алгебре за 7 класс к учебнику Дорофеева 2024 года
Номер 7.49
Краткое условие:
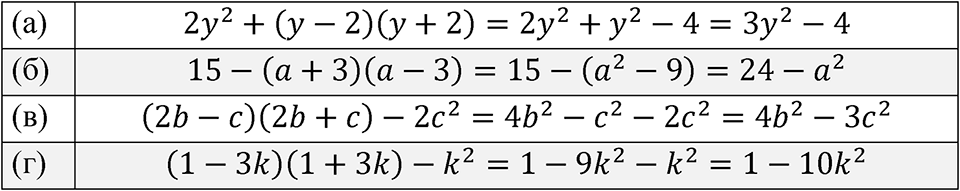
Представьте выражение в виде многочлена: а) \( 2 y^{2}+(y-2)(y+2) \); б) \( 15-(a+3)(a-3) \); в) \( (2 b-c)(2 b+c)-2 c^{2} \); г) \( (1-3 k)(1+3 k)-k^{2} \).
Номер 7.48
Номер 7.50
смотреть все номера
7
класс
Spotlight Student's book
Английский язык
Смотреть
7
класс
Пасечник, Суматохин
Биология
Смотреть
7
класс
Перышкин
Физика
Смотреть
7
класс
Алексеев - Полярная звезда
География
Смотреть
Сообщить об ошибке
pomogalka
ГДЗ
Рабочие тетради
Меню
Избранное
11
10
9
8
7
6
5
4
3
2
1
Предметы
Кл.
Свернуть
Кл.
Алгебра
Русский язык
Английский язык
Немецкий язык
Химия
Физика
Геометрия
Информатика
Обществознание
История
Биология
География
Литература
Отправить
Закрыть