7класс

Страница 203 номер 7.72, ГДЗ по алгебре за 7 класс к учебнику Дорофеева 2024 года

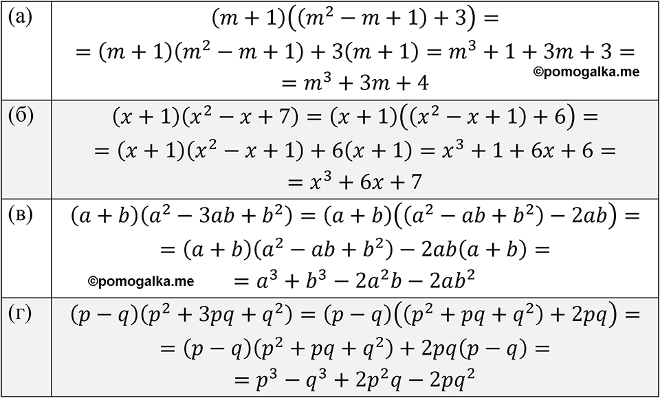
Номер 7.72

Краткое условие: Выполните умножение: а) \( (m+1)((m^{2}-m+1)+3) \); б) \( (x+1)(x^{2}-x+7) \); в) \( (a+b)(a^{2}-3ab+b^{2}) \); г) \( (p-q)(p^{2}+3pq+q^{2}) \). Подсказка: преобразуйте второй многочлен, чтобы применить формулу суммы/разности кубов (пример: \( (c-1)(c^{2}+c+3) \)).
страница 203 номер 7.72 ГДЗ алгебра 7 класс Дорофеева 2024 год
Сообщить об ошибке
Закрыть