ГДЗ
7 класс
Алгебра
Дорофеев, Суворова, Бунимович
7
класс
Страница 200 номер 7.51, ГДЗ по алгебре за 7 класс к учебнику Дорофеева 2024 года
Номер 7.51
Краткое условие:
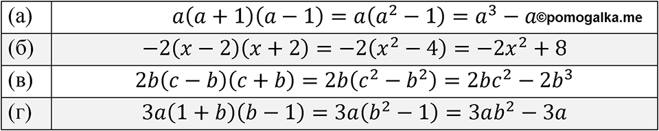
Представьте выражение в виде многочлена. a) \(a(a+1)(a-1)\); б) \(-2(x-2)(x+2)\); в) \(2b(c-b)(c+b)\); г) \(3a(1+b)(b-1)\).
Номер 7.50
Номер 7.52
смотреть все номера
7
класс
Spotlight Student's book
Английский язык
Смотреть
7
класс
Пасечник, Суматохин
Биология
Смотреть
7
класс
Перышкин
Физика
Смотреть
7
класс
Алексеев - Полярная звезда
География
Смотреть
Сообщить об ошибке
pomogalka
ГДЗ
Рабочие тетради
Меню
Избранное
11
10
9
8
7
6
5
4
3
2
1
Предметы
Кл.
Свернуть
Кл.
Алгебра
Русский язык
Английский язык
Немецкий язык
Химия
Физика
Геометрия
Информатика
Обществознание
История
Биология
География
Литература
Отправить
Закрыть