7класс

Страница 200 номер 7.53, ГДЗ по алгебре за 7 класс к учебнику Дорофеева 2024 года

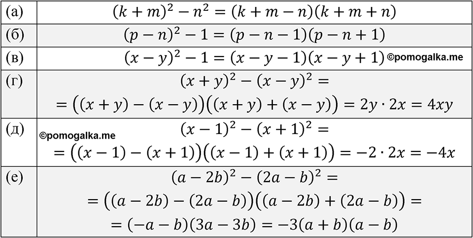
Номер 7.53

Краткое условие: Представьте в виде произведения: a) \( (k+m)^{2}-n^{2} \); г) \( (x+y)^{2}-(x-y)^{2} \); б) \( (p-n)^{2}-1 \); д) \( (x-1)^{2}-(x+1)^{2} \); в) \( (x-y)^{2}-1 \); e) \( (a-2 b)^{2}-(2 a-b)^{2} \).
страница 200 номер 7.53 ГДЗ алгебра 7 класс Дорофеева 2024 год
Сообщить об ошибке
Закрыть