ГДЗ
7 класс
Алгебра
Дорофеев, Суворова, Бунимович
7
класс
Страница 196 номер 7.30, ГДЗ по алгебре за 7 класс к учебнику Дорофеева 2024 года
Номер 7.30
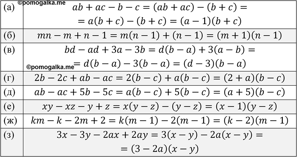
Краткое условие:
Разложите на множители: а) \(ab+ac-b-c\); д) \(ab-ac+5b-5c\); б) \(mn-m+n-1\); е) \(xy-xz-y+z\); … (остальное по аналогии).
Номер 7.29
Номер 7.31
смотреть все номера
7
класс
Spotlight Student's book
Английский язык
Смотреть
7
класс
Пасечник, Суматохин
Биология
Смотреть
7
класс
Перышкин
Физика
Смотреть
7
класс
Алексеев - Полярная звезда
География
Смотреть
Сообщить об ошибке
pomogalka
ГДЗ
Рабочие тетради
Меню
Избранное
11
10
9
8
7
6
5
4
3
2
1
Предметы
Кл.
Свернуть
Кл.
Алгебра
Русский язык
Английский язык
Немецкий язык
Химия
Физика
Геометрия
Информатика
Обществознание
История
Биология
География
Литература
Отправить
Закрыть