7класс

Страница 197 номер 7.34, ГДЗ по алгебре за 7 класс к учебнику Дорофеева 2024 года

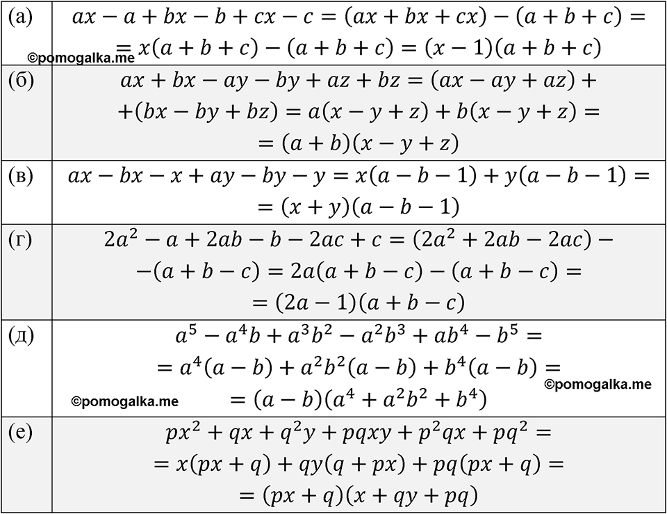
Номер 7.34

Краткое условие: Разложите на множители. а) \(ax-a+bx-b+cx-c\); б) \(ax+bx-ay-by+az+bz\); в) \(ax-bx-x+ay-by-y\); г) \(2a^{2}-a+2ab-b-2ac+c\); д) \(a^{5}-a^{4}b+a^{3}b^{2}-a^{2}b^{3}+ab^{4}-b^{5}\); е) \(px^{2}+qx+q^{2}y+pqxy+p^{2}qx+pq^{2}\).
страница 197 номер 7.34 ГДЗ алгебра 7 класс Дорофеева 2024 год
Сообщить об ошибке
Закрыть