ГДЗ
7 класс
Алгебра
Дорофеев, Суворова, Бунимович
7
класс
Страница 199 номер 7.38, ГДЗ по алгебре за 7 класс к учебнику Дорофеева 2024 года
Номер 7.38
Краткое условие:
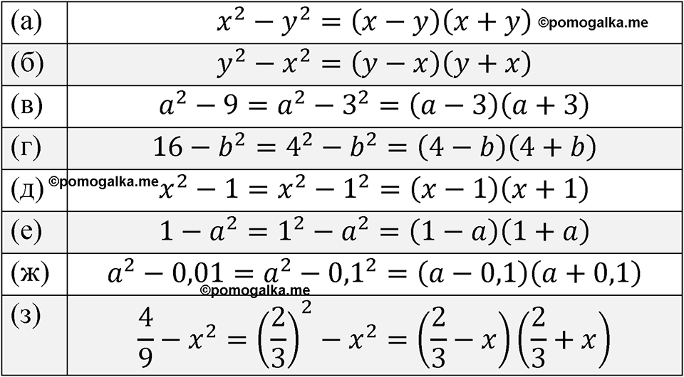
Разложите на множители. а) \(x^{2}-y^{2}\); б) \(y^{2}-x^{2}\); в) \(a^{2}-9\); г) \(16-b^{2}\); д) \(x^{2}-1\); е) \(1-a^{2}\); ж) \(a^{2}-0,01\); з) \(\frac{4}{9}-x^{2}\).
Номер 7.37
Номер 7.39
смотреть все номера
7
класс
Spotlight Student's book
Английский язык
Смотреть
7
класс
Пасечник, Суматохин
Биология
Смотреть
7
класс
Перышкин
Физика
Смотреть
7
класс
Алексеев - Полярная звезда
География
Смотреть
Сообщить об ошибке
pomogalka
ГДЗ
Рабочие тетради
Меню
Избранное
11
10
9
8
7
6
5
4
3
2
1
Предметы
Кл.
Свернуть
Кл.
Алгебра
Русский язык
Английский язык
Немецкий язык
Химия
Физика
Геометрия
Информатика
Обществознание
История
Биология
География
Литература
Отправить
Закрыть