ГДЗ
7 класс
Алгебра
Дорофеев, Суворова, Бунимович
7
класс
Страница 206 номер 7.77, ГДЗ по алгебре за 7 класс к учебнику Дорофеева 2024 года
Номер 7.77
Краткое условие:
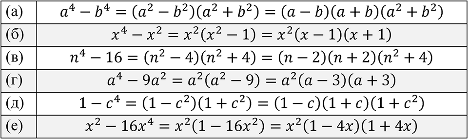
Разложите на множители. а) \( a^{4}-b^{4} \); б) \( x^{4}-x^{2} \); в) \( n^{4}-16 \); г) \( a^{4}-9 a^{2} \); д) \( 1-c^{4} \); e) \( x^{2}-16 x^{4} \).
Номер 7.76
Номер 7.78
смотреть все номера
7
класс
Spotlight Student's book
Английский язык
Смотреть
7
класс
Пасечник, Суматохин
Биология
Смотреть
7
класс
Перышкин
Физика
Смотреть
7
класс
Алексеев - Полярная звезда
География
Смотреть
Сообщить об ошибке
pomogalka
ГДЗ
Рабочие тетради
Меню
Избранное
11
10
9
8
7
6
5
4
3
2
1
Предметы
Кл.
Свернуть
Кл.
Алгебра
Русский язык
Английский язык
Немецкий язык
Химия
Физика
Геометрия
Информатика
Обществознание
История
Биология
География
Литература
Отправить
Закрыть