7класс

Страница 200 номер 7.48, ГДЗ по алгебре за 7 класс к учебнику Дорофеева 2024 года

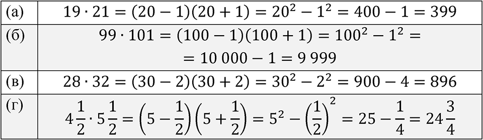
Номер 7.48

Краткое условие: Вычислите, используя формулу \[ (a-b)(a+b)=a^{2}-b^{2} \] a) \( 19 \cdot 21 \); б) \( 99 \cdot 101 \); в) \( 28 \cdot 32 \); г) \( 4 \frac{1}{2} \cdot 5 \frac{1}{2} \). Пример: \[ 49 \cdot 51=(50-1)(50+1)=50^{2}-1=2499 . \]
страница 200 номер 7.48 ГДЗ алгебра 7 класс Дорофеева 2024 год
Сообщить об ошибке
Закрыть