7класс

Страница 205 номер 7.74, ГДЗ по алгебре за 7 класс к учебнику Дорофеева 2024 года

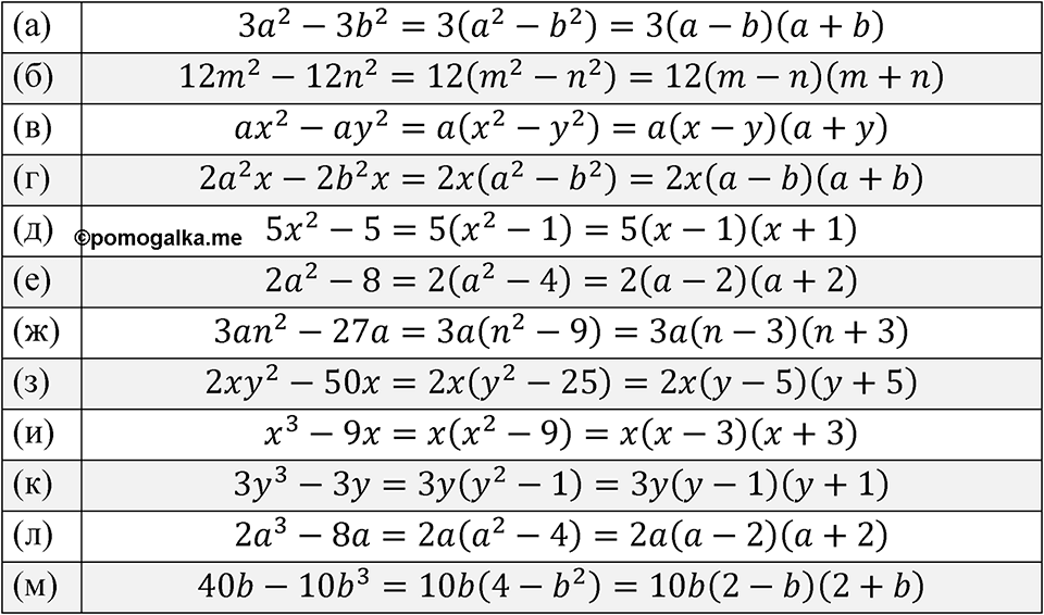
Номер 7.74

Краткое условие: Разложите на множители. а) \( 3 a^{2}-3 b^{2} \); б) \( 12 m^{2}-12 n^{2} \); в) \( a x^{2}-a y^{2} \); г) \( 2 a^{2} x-2 b^{2} x \); д) \( 5 x^{2}-5 \); е) \( 2 a^{2}-8 \); ж) \( 3 a n^{2}-27 a \); з) \( 2 x y^{2}-50 x \); и) \( x^{3}-9 x \); к) \( 3 y^{3}-3 y \); л) \( 2 a^{3}-8 a \); м) \( 40 b-10 b^{3} \).
страница 205 номер 7.74 ГДЗ алгебра 7 класс Дорофеева 2024 год
Сообщить об ошибке
Закрыть