ГДЗ
7 класс
Алгебра
Дорофеев, Суворова, Бунимович
7
класс
Страница 196 номер 7.27, ГДЗ по алгебре за 7 класс к учебнику Дорофеева 2024 года
Номер 7.27
Краткое условие:
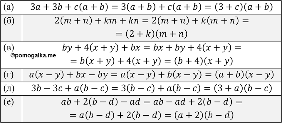
Разложите на множители: а) \( 3 a+3 b+c(a+b) \); г) \( a(x-y)+b x-b y \); б) \( 2(m+n)+k m+k m \); д) \( 3 b-3 c+a(b-c) \); ...
Номер 7.26
Номер 7.28
смотреть все номера
7
класс
Spotlight Student's book
Английский язык
Смотреть
7
класс
Пасечник, Суматохин
Биология
Смотреть
7
класс
Перышкин
Физика
Смотреть
7
класс
Алексеев - Полярная звезда
География
Смотреть
Сообщить об ошибке
pomogalka
ГДЗ
Рабочие тетради
Меню
Избранное
11
10
9
8
7
6
5
4
3
2
1
Предметы
Кл.
Свернуть
Кл.
Алгебра
Русский язык
Английский язык
Немецкий язык
Химия
Физика
Геометрия
Информатика
Обществознание
История
Биология
География
Литература
Отправить
Закрыть