ГДЗ
7 класс
Алгебра
Дорофеев, Суворова, Бунимович
7
класс
Страница 196 номер 7.26, ГДЗ по алгебре за 7 класс к учебнику Дорофеева 2024 года
Номер 7.26
Краткое условие:
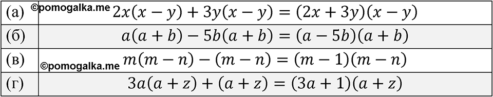
Представьте выражение в виде произведения: а) \( 2x(x-y)+3y(x-y) \); б) \( a(a+b)-5b(a+b) \); в) \( m(m-n)-(m-n) \); г) \( 3a(a+z)+(a+z) \).
Номер 7.25. Вопросы после §7.2
Номер 7.27
смотреть все номера
7
класс
Spotlight Student's book
Английский язык
Смотреть
7
класс
Пасечник, Суматохин
Биология
Смотреть
7
класс
Перышкин
Физика
Смотреть
7
класс
Алексеев - Полярная звезда
География
Смотреть
Сообщить об ошибке
pomogalka
ГДЗ
Рабочие тетради
Меню
Избранное
11
10
9
8
7
6
5
4
3
2
1
Предметы
Кл.
Свернуть
Кл.
Алгебра
Русский язык
Английский язык
Немецкий язык
Химия
Физика
Геометрия
Информатика
Обществознание
История
Биология
География
Литература
Отправить
Закрыть