7класс

Страница 206 номер 7.86, ГДЗ по алгебре за 7 класс к учебнику Дорофеева 2024 года

Номер 7.86

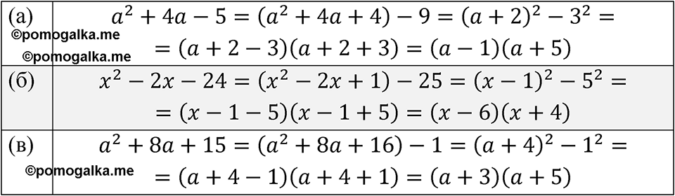
Краткое условие: Трёхчлен \( x^{2}-6 x+8 \) можно разложить на множители, выделив квадрат двучлена: \(x^{2}-6x+8=(x-3)^{2}-1=(x-4)(x-2)\). Разложите на множители трёхчлен: а) \( a^{2}+4 a-5 \); б) \( x^{2}-2 x-24 \); в) \( a^{2}+8 a+15 \).
страница 206 номер 7.86 ГДЗ алгебра 7 класс Дорофеева 2024 год
Сообщить об ошибке
Закрыть