ГДЗ
7 класс
Алгебра
Дорофеев, Суворова, Бунимович
7
класс
Страница 206 номер 7.80, ГДЗ по алгебре за 7 класс к учебнику Дорофеева 2024 года
Номер 7.80
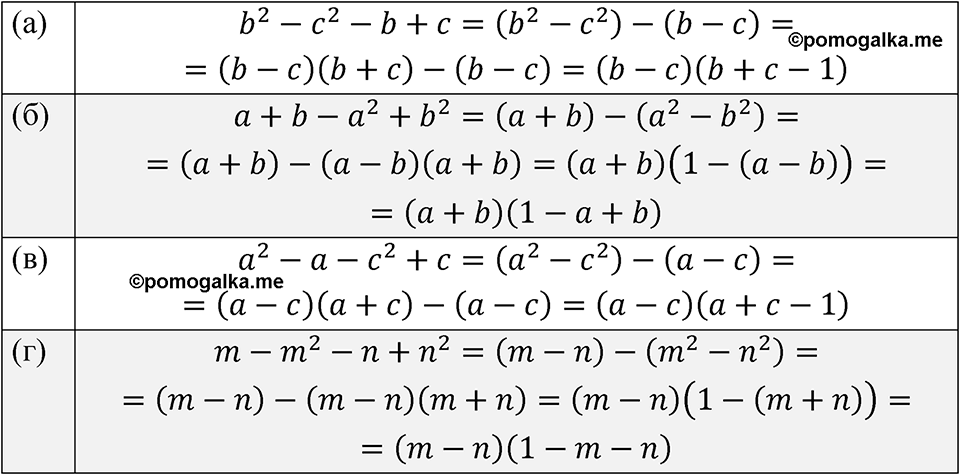
Краткое условие:
Разложите на множители. а) \( b^{2}-c^{2}-b+c \); б) \( a+b-a^{2}+b^{2} \); в) \( a^{2}-a-c^{2}+c \); г) \( m-m^{2}-n+n^{2} \).
Номер 7.79
Номер 7.81
смотреть все номера
7
класс
Spotlight Student's book
Английский язык
Смотреть
7
класс
Пасечник, Суматохин
Биология
Смотреть
7
класс
Перышкин
Физика
Смотреть
7
класс
Алексеев - Полярная звезда
География
Смотреть
Сообщить об ошибке
pomogalka
ГДЗ
Рабочие тетради
Меню
Избранное
11
10
9
8
7
6
5
4
3
2
1
Предметы
Кл.
Свернуть
Кл.
Алгебра
Русский язык
Английский язык
Немецкий язык
Химия
Физика
Геометрия
Информатика
Обществознание
История
Биология
География
Литература
Отправить
Закрыть