ГДЗ
7 класс
Алгебра
Дорофеев, Суворова, Бунимович
7
класс
Страница 206 номер 7.83, ГДЗ по алгебре за 7 класс к учебнику Дорофеева 2024 года
Номер 7.83
Краткое условие:
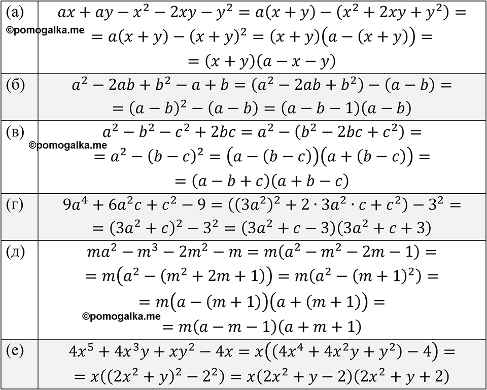
Разложите на множители. а) \( a x+a y-x^{2}-2 x y-y^{2} \); г) \( 9 a^{4}+6 a^{2} c+c^{2}-9 \); б) \( a^{2}-2 a b+b^{2}-a+b \); … ; e) \( 4 x^{5}+4 x^{3} y+x y^{2}-4 x \).
Номер 7.82
Номер 7.84
смотреть все номера
7
класс
Spotlight Student's book
Английский язык
Смотреть
7
класс
Пасечник, Суматохин
Биология
Смотреть
7
класс
Перышкин
Физика
Смотреть
7
класс
Алексеев - Полярная звезда
География
Смотреть
Сообщить об ошибке
pomogalka
ГДЗ
Рабочие тетради
Меню
Избранное
11
10
9
8
7
6
5
4
3
2
1
Предметы
Кл.
Свернуть
Кл.
Алгебра
Русский язык
Английский язык
Немецкий язык
Химия
Физика
Геометрия
Информатика
Обществознание
История
Биология
География
Литература
Отправить
Закрыть