7класс

Страница 206 номер 7.84, ГДЗ по алгебре за 7 класс к учебнику Дорофеева 2024 года

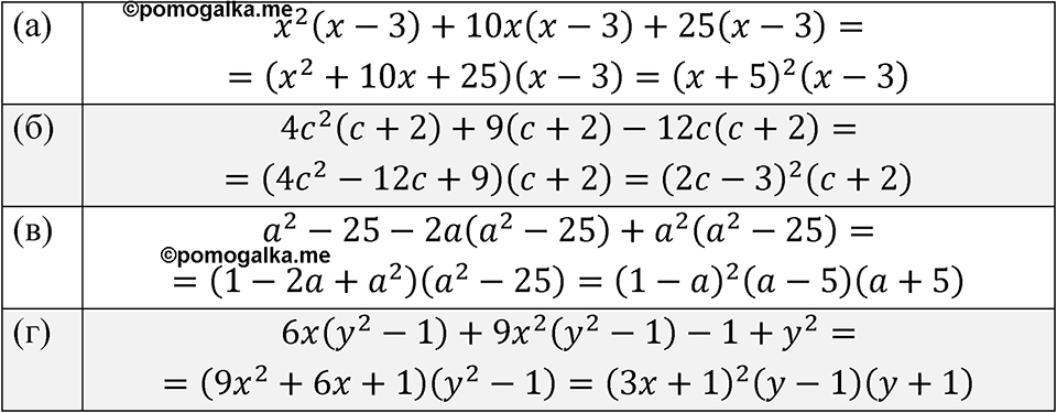
Номер 7.84

Краткое условие: Разложите на множители. а) \( x^{2}(x-3)+10 x(x-3)+25(x-3) \); б) \( 4 c^{2}(c+2)+9(c+2)-12 c(c+2) \); в) \( a^{2}-25-2 a(a^{2}-25)+a^{2}(a^{2}-25) \); г) \( 6 x(y^{2}-1)+9 x^{2}(y^{2}-1)-1+y^{2} \).
страница 206 номер 7.84 ГДЗ алгебра 7 класс Дорофеева 2024 год
Сообщить об ошибке
Закрыть