ГДЗ
7 класс
Алгебра
Дорофеев, Суворова, Бунимович
7
класс
Страница 194 номер 7.22, ГДЗ по алгебре за 7 класс к учебнику Дорофеева 2024 года
Номер 7.22
Краткое условие:
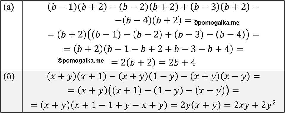
Преобразуйте в многочлен, применяя вынесение общего множителя: a) \( (b-1)(b+2)-(b-2)(b+2)+(b-3)(b+2)-(b-4)(b+2) \); б) \( (x+y)(x+1)-(x+y)(1-y)-(x+y)(x-y) \).
Номер 7.21
Номер 7.23
смотреть все номера
7
класс
Spotlight Student's book
Английский язык
Смотреть
7
класс
Пасечник, Суматохин
Биология
Смотреть
7
класс
Перышкин
Физика
Смотреть
7
класс
Алексеев - Полярная звезда
География
Смотреть
Сообщить об ошибке
pomogalka
ГДЗ
Рабочие тетради
Меню
Избранное
11
10
9
8
7
6
5
4
3
2
1
Предметы
Кл.
Свернуть
Кл.
Алгебра
Русский язык
Английский язык
Немецкий язык
Химия
Физика
Геометрия
Информатика
Обществознание
История
Биология
География
Литература
Отправить
Закрыть