ГДЗ
7 класс
Алгебра
Дорофеев, Суворова, Бунимович
7
класс
Страница 194 номер 7.21, ГДЗ по алгебре за 7 класс к учебнику Дорофеева 2024 года
Номер 7.21
Краткое условие:
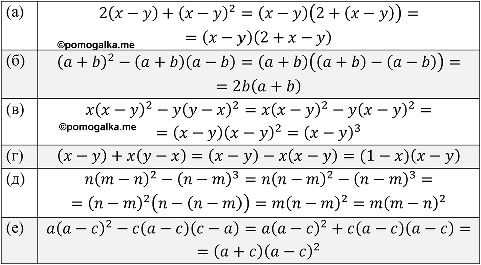
Разложите на множители. a) \(2(x-y)+(x-y)^2\); б) \((a+b)^2-(a+b)(a-b)\); в) \(x(x-y)^2-y(y-x)^2\); г) \((x-y)+x(y-x)\); д) \(n(m-n)^2-(n-m)^3\); е) \(a(a-c)^2-c(a-c)(c-a)\).
Номер 7.20
Номер 7.22
смотреть все номера
7
класс
Spotlight Student's book
Английский язык
Смотреть
7
класс
Пасечник, Суматохин
Биология
Смотреть
7
класс
Перышкин
Физика
Смотреть
7
класс
Алексеев - Полярная звезда
География
Смотреть
Сообщить об ошибке
pomogalka
ГДЗ
Рабочие тетради
Меню
Избранное
11
10
9
8
7
6
5
4
3
2
1
Предметы
Кл.
Свернуть
Кл.
Алгебра
Русский язык
Английский язык
Немецкий язык
Химия
Физика
Геометрия
Информатика
Обществознание
История
Биология
География
Литература
Отправить
Закрыть