7класс

Страница 193 номер 7.15, ГДЗ по алгебре за 7 класс к учебнику Дорофеева 2024 года

Номер 7.15

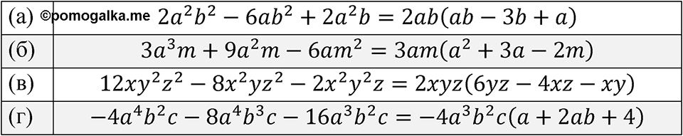
Краткое условие: Вынесите общий множитель за скобки: а) \( 2 a^{2} b^{2}-6 a b^{2}+2 a^{2} b \); б) \( 3 a^{3} m+9 a^{2} m-6 a m^{2} \); в) \( 12 x y^{2} z^{2}-8 x^{2} y z^{2}-2 x^{2} y^{2} z \); г) \( -4 a^{4} b^{2} c-8 a^{4} b^{3} c-16 a^{3} b^{2} c \).
страница 193 номер 7.15 ГДЗ алгебра 7 класс Дорофеева 2024 год
Сообщить об ошибке
Закрыть