ГДЗ
7 класс
Алгебра
Дорофеев, Суворова, Бунимович
7
класс
Страница 193 номер 7.11, ГДЗ по алгебре за 7 класс к учебнику Дорофеева 2024 года
Номер 7.11
Краткое условие:
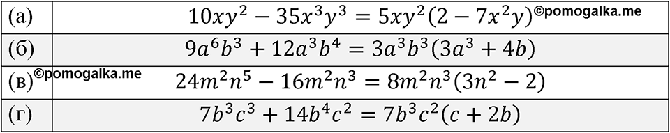
а) \( 10xy^{2}-35x^{3}y^{3} \); в) \( 24m^{2}n^{5}-16m^{2}n^{3} \); б) \( 9a^{6}b^{3}+12a^{3}b^{4} \); г) \( 7b^{3}c^{3}+14b^{4}c^{2} \).
Номер 7.10
Номер 7.12
смотреть все номера
7
класс
Spotlight Student's book
Английский язык
Смотреть
7
класс
Пасечник, Суматохин
Биология
Смотреть
7
класс
Перышкин
Физика
Смотреть
7
класс
Алексеев - Полярная звезда
География
Смотреть
Сообщить об ошибке
pomogalka
ГДЗ
Рабочие тетради
Меню
Избранное
11
10
9
8
7
6
5
4
3
2
1
Предметы
Кл.
Свернуть
Кл.
Алгебра
Русский язык
Английский язык
Немецкий язык
Химия
Физика
Геометрия
Информатика
Обществознание
История
Биология
География
Литература
Отправить
Закрыть