7класс

Страница 193 номер 7.10, ГДЗ по алгебре за 7 класс к учебнику Дорофеева 2024 года

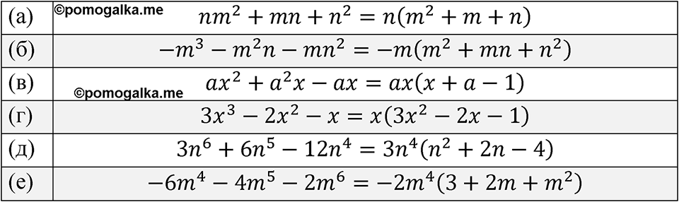
Номер 7.10

Краткое условие: a) \( n m^{2}+m n+n^{2} \); г) \( 3 x^{3}-2 x^{2}-x \); б) \( -m^{3}-m^{2} n-m n^{2} \); д) \( 3 n^{6}+6 n^{5}-12 n^{4} \); в) \( a x^{2}+a^{2} x-a x \); e) \( -6 m^{4}-4 m^{5}-2 m^{6} \).
страница 193 номер 7.10 ГДЗ алгебра 7 класс Дорофеева 2024 год
Сообщить об ошибке
Закрыть