7класс

Страница 192 номер 7.6, ГДЗ по алгебре за 7 класс к учебнику Дорофеева 2024 года

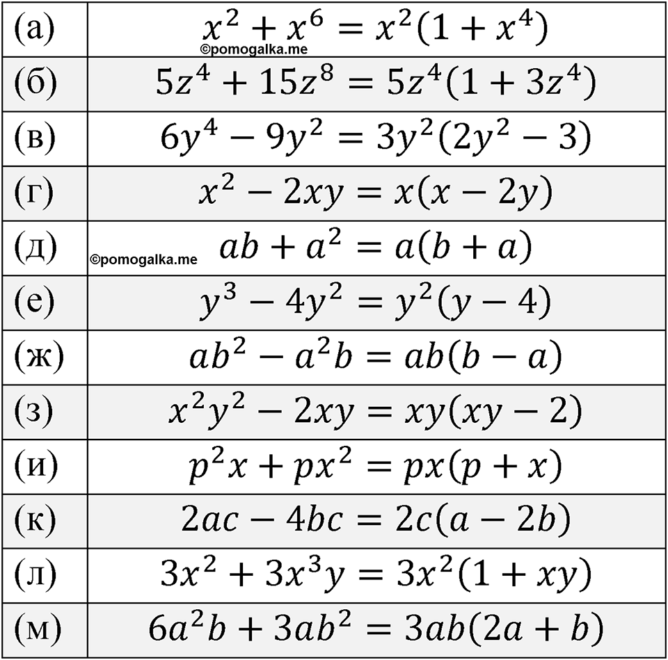
Номер 7.6

Краткое условие: Вынесите общий множитель за скобки. a) \(x^{2}+x^{6}\); б) \(5z^{4}+15z^{8}\); в) \(6y^{4}-9y^{2}\); г) \(x^{2}-2xy\); д) \(ab+a^{2}\); е) \(y^{3}-4y^{2}\); ж) \(ab^{2}-a^{2}b\); з) \(x^{2}y^{2}-2xy\); и) \(p^{2}x+px^{2}\); к) \(2ac-4bc\); л) \(3x^{2}+3x^{3}y\); м) \(6a^{2}b+3ab^{2}\).
страница 192 номер 7.6 ГДЗ алгебра 7 класс Дорофеева 2024 год
Сообщить об ошибке
Закрыть