7класс

Страница 192 номер 7.5, ГДЗ по алгебре за 7 класс к учебнику Дорофеева 2024 года

Номер 7.5

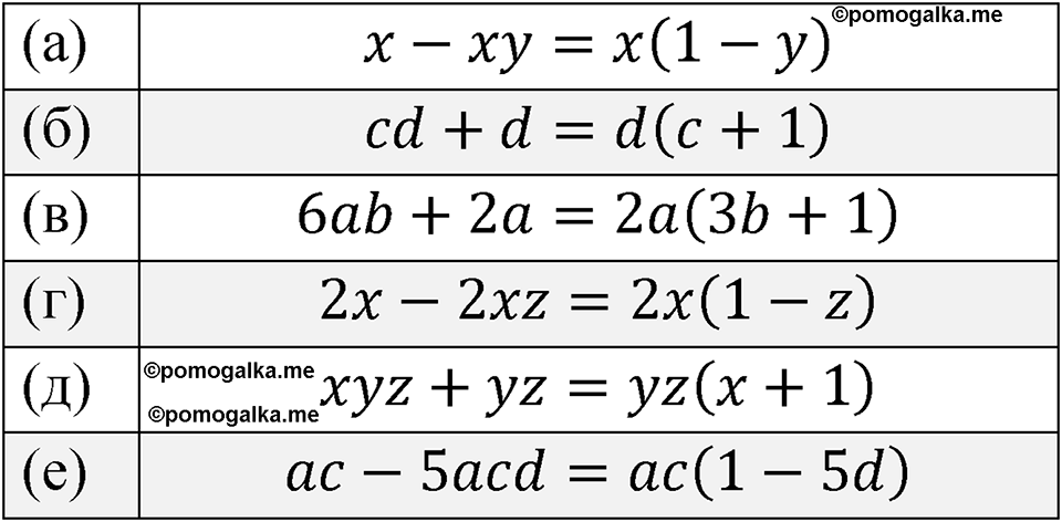
Краткое условие: Вынесите общий множитель за скобки. a) \( x-x y \); в) \( 6 a b+2 a \); д) \( x y z+y z \); б) \( c d+d \); г) \( 2 x-2 x z \); е) \( a c-5 a c d \). Образец: \( a+3ab=a(1+3b) \).
страница 192 номер 7.5 ГДЗ алгебра 7 класс Дорофеева 2024 год
Сообщить об ошибке
Закрыть