7класс

Страница 192 номер 7.1, ГДЗ по алгебре за 7 класс к учебнику Дорофеева 2024 года

Номер 7.1

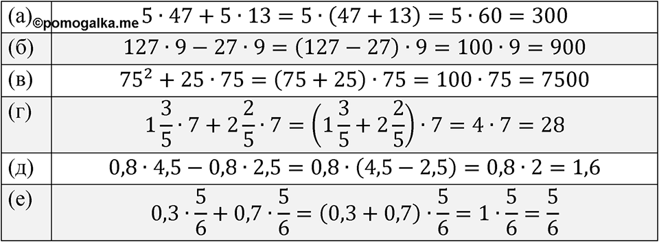
Краткое условие: Вынесите общий множитель за скобки и вычислите значения: а) \(5\cdot47+5\cdot13\); б) \(127\cdot9-27\cdot9\); в) \(75^{2}+25\cdot75\); г) \(1\frac{3}{5}\cdot7+2\frac{2}{5}\cdot7\); д) \(0,8\cdot4,5-0,8\cdot2,5\); е) \(0,3\cdot\frac{5}{6}+0,7\cdot\frac{5}{6}\).
страница 192 номер 7.1 ГДЗ алгебра 7 класс Дорофеева 2024 год
Сообщить об ошибке
Закрыть