7класс

Страница 165 номер 6.108, ГДЗ по алгебре за 7 класс к учебнику Дорофеева 2024 года

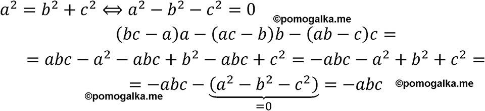
Номер 6.108

Краткое условие: Докажите, что если \( a^{2}=b^{2}+c^{2} \), то упростите выражение \((b c-a) a-(a c-b) b-(a b-c) c\) и покажите, что оно равно \(-a b c\).
страница 165 номер 6.108 ГДЗ алгебра 7 класс Дорофеева 2024 год
Сообщить об ошибке
Закрыть