ГДЗ
7 класс
Алгебра
Дорофеев, Суворова, Бунимович
7
класс
Страница 163 номер 6.96, ГДЗ по алгебре за 7 класс к учебнику Дорофеева 2024 года
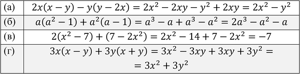
Номер 6.96
Краткое условие:
Упростите выражение. а) \( 2 x(x-y)-y(y-2 x) \); в) \( 2\left(x^{2}-7\right)+\left(7-2 x^{2}\right) \); б) \( a\left(a^{2}-1\right)+a^{2}(a-1) \); г) \( 3 x(x-y)+3 y(x+y) \).
Номер 6.95
Номер 6.97
смотреть все номера
7
класс
Spotlight Student's book
Английский язык
Смотреть
7
класс
Пасечник, Суматохин
Биология
Смотреть
7
класс
Перышкин
Физика
Смотреть
7
класс
Алексеев - Полярная звезда
География
Смотреть
Сообщить об ошибке
pomogalka
ГДЗ
Рабочие тетради
Меню
Избранное
11
10
9
8
7
6
5
4
3
2
1
Предметы
Кл.
Свернуть
Кл.
Алгебра
Русский язык
Английский язык
Немецкий язык
Химия
Физика
Геометрия
Информатика
Обществознание
История
Биология
География
Литература
Отправить
Закрыть