7класс

Страница 169 номер 6.129, ГДЗ по алгебре за 7 класс к учебнику Дорофеева 2024 года

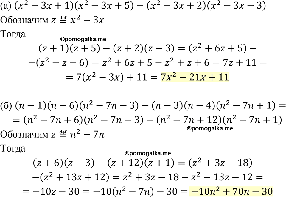
Номер 6.129

Краткое условие: Упростите выражение: а) \( (x^{2}-3x+1)(x^{2}-3x+5)-(x^{2}-3x+2)(x^{2}-3x-3) \); б) \( (n-1)(n-6)(n^{2}-7n-3)-(n-3)(n-4)(n^{2}-7n+1) \). Подсказка: сделайте замену, например в а) \(x^{2}-3x=y\).
страница 169 номер 6.129 ГДЗ алгебра 7 класс Дорофеева 2024 год
Сообщить об ошибке
Закрыть