ГДЗ
7 класс
Алгебра
Дорофеев, Суворова, Бунимович
7
класс
Страница 168 номер 6.119, ГДЗ по алгебре за 7 класс к учебнику Дорофеева 2024 года
Номер 6.119
Краткое условие:
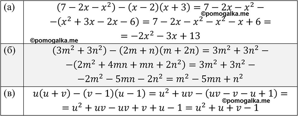
Упростите выражение: а) \( (7-2x-x^2)-(x-2)(x+3) \); б) \( (3m^2+3n^2)-(2m+n)(m+2n) \); в) \( u(u+v)-(v-1)(u-1) \).
Номер 6.118
Номер 6.120
смотреть все номера
7
класс
Spotlight Student's book
Английский язык
Смотреть
7
класс
Пасечник, Суматохин
Биология
Смотреть
7
класс
Перышкин
Физика
Смотреть
7
класс
Алексеев - Полярная звезда
География
Смотреть
Сообщить об ошибке
pomogalka
ГДЗ
Рабочие тетради
Меню
Избранное
11
10
9
8
7
6
5
4
3
2
1
Предметы
Кл.
Свернуть
Кл.
Алгебра
Русский язык
Английский язык
Немецкий язык
Химия
Физика
Геометрия
Информатика
Обществознание
История
Биология
География
Литература
Отправить
Закрыть