7класс

Страница 167 номер 6.114, ГДЗ по алгебре за 7 класс к учебнику Дорофеева 2024 года

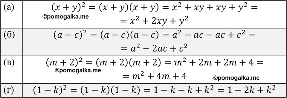
Номер 6.114

Краткое условие: Запишите степень двучлена в виде произведения и выполните: a) \( (x+y)^{2} \); б) \( (a-c)^{2} \); в) \( (m+2)^{2} \); г) \( (1-k)^{2} \).
страница 167 номер 6.114 ГДЗ алгебра 7 класс Дорофеева 2024 год
Сообщить об ошибке
Закрыть