ГДЗ
7 класс
Алгебра
Дорофеев, Суворова, Бунимович
7
класс
Страница 163 номер 6.91, ГДЗ по алгебре за 7 класс к учебнику Дорофеева 2024 года
Номер 6.91
Краткое условие:
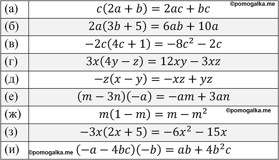
Раскройте скобки: а) \( c(2 a+b) \); г) \( 3 x(4 y-z) \); ж) \( m(1-m) \); б) \( 2 a(3 b+5) \); … ; и) \( (-a-4 b c)(-b) \).
Номер 6.90
Номер 6.92
смотреть все номера
7
класс
Spotlight Student's book
Английский язык
Смотреть
7
класс
Пасечник, Суматохин
Биология
Смотреть
7
класс
Перышкин
Физика
Смотреть
7
класс
Алексеев - Полярная звезда
География
Смотреть
Сообщить об ошибке
pomogalka
ГДЗ
Рабочие тетради
Меню
Избранное
11
10
9
8
7
6
5
4
3
2
1
Предметы
Кл.
Свернуть
Кл.
Алгебра
Русский язык
Английский язык
Немецкий язык
Химия
Физика
Геометрия
Информатика
Обществознание
История
Биология
География
Литература
Отправить
Закрыть