ГДЗ
7 класс
Алгебра
Дорофеев, Суворова, Бунимович
7
класс
Страница 163 номер 6.97, ГДЗ по алгебре за 7 класс к учебнику Дорофеева 2024 года
Номер 6.97
Краткое условие:
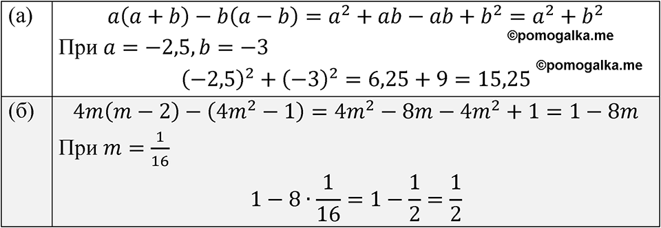
Найдите значение выражения при заданных значениях: а) \(a(a+b)-b(a-b)\), \(a=-2,5\), \(b=-3\); б) \(4m(m-2)-(4m^2-1)\), \(m=\frac{1}{16}\).
Номер 6.96
Номер 6.98
смотреть все номера
7
класс
Spotlight Student's book
Английский язык
Смотреть
7
класс
Пасечник, Суматохин
Биология
Смотреть
7
класс
Перышкин
Физика
Смотреть
7
класс
Алексеев - Полярная звезда
География
Смотреть
Сообщить об ошибке
pomogalka
ГДЗ
Рабочие тетради
Меню
Избранное
11
10
9
8
7
6
5
4
3
2
1
Предметы
Кл.
Свернуть
Кл.
Алгебра
Русский язык
Английский язык
Немецкий язык
Химия
Физика
Геометрия
Информатика
Обществознание
История
Биология
География
Литература
Отправить
Закрыть