7класс

Страница 161 номер 6.87, ГДЗ по алгебре за 7 класс к учебнику Дорофеева 2024 года

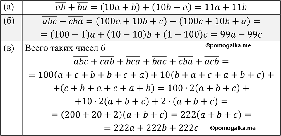
Номер 6.87

Краткое условие: Представьте в виде многочлена стандартного вида: а) сумму числа \( \overline{a b} \) и числа с цифрами в обратном порядке; б) разность числа \( \overline{a b c} \) и числа с обратным порядком цифр; в) сумму всех трёхзначных чисел из цифр \( a \), \( b \), \( c \) без повторений.
страница 161 номер 6.87 ГДЗ алгебра 7 класс Дорофеева 2024 год
Сообщить об ошибке
Закрыть