7класс

Страница 163 номер 6.94, ГДЗ по алгебре за 7 класс к учебнику Дорофеева 2024 года

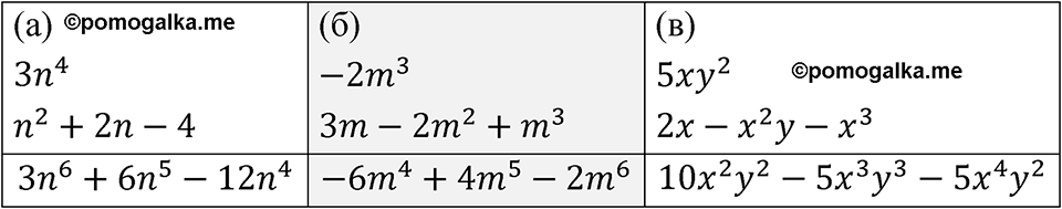
Номер 6.94

Краткое условие: Иногда удобно вести запись умножения в столбик: умножьте одночлен на многочлен: a) \( 3 n^{4}(n^{2}+2 n-4) \); б) \( -2 m^{3}(3 m-2 m^{2}+m^{3}) \); в) \( 5 x y^{2}(2 x-x^{2} y-x^{3}) \).
страница 163 номер 6.94 ГДЗ алгебра 7 класс Дорофеева 2024 год
Сообщить об ошибке
Закрыть